Skip to content
    • info@phuongphapnghiencuu.com
  • Kết nối và chia sẻ cùng chúng tôi
  • -
  • Giới thiệu
    • info@phuongphapnghiencuu.com
HKT ConsultantHKT Consultant
  • Trang chủ
  • Phương pháp nghiên cứu
    • Phương pháp định lượng
      • Phương pháp luận
      • Điều tra bảng hỏi
      • Phân tích thống kê & Kinh tế lượng
      • Phân tích văn bản
      • Phân tích tổng hợp
    • Phương pháp định tính
      • Phương pháp luận
      • Phỏng vấn điều tra
      • Nghiên cứu tính huống – điển hình
      • Nghiên cứu hành động
      • Nghiên cứu nội dung
      • Nghiên cứu thực nghiệm
      • Phương pháp quan sát
      • Hiện tượng học
    • Phương pháp tổng quan
      • Phương pháp luận
      • Các phương pháp tổng quan
  • Phân tích thống kê
    • Phân tích thống kê & Kinh tế lượng
      • Hồi quy tuyến tính OLS
      • Cấu trúc mạng tuyến tính SEM
    • Hướng dẫn phần mềm thống kê
      • Sử dụng phần mềm STATA
      • Sử dụng phần mềm SPSS
      • Phân tích SEM – AMOS
      • Phần mềm SmartPLS
      • Phần mềm Eviews
  • Doanh nghiệp học
    • Quản lý doanh nghiệp
    • Chiến lược doanh nghiệp
    • Học thuyết doanh nghiệp
    • Khoa học quản lý
    • Kinh tế vi mô
    • Tin học văn phòng Microsoft Office
Crosstabs – Thực hành cách phân tích bảng chéo Crosstabs trong SPSS

Phân tích crosstabs này rất hữu ích trong việc xác định mối quan hệ, số lượng biến quan sát giữa các biến định tính, hoặc định lượng với nhau. Cách thức tiến hành phân tích bảng chéo (crosstabulation) Phân tích bảng chéo dùng để kiểm định mối quan hệ giữa các biến định tính với

03
Th2
Cách sử dụng custom tables trong SPSS

Custom tables là bảng kết hợp nhiều biến, có thể có 2 biến, 3 biến hoặc nhiều hơn. Bảng này mạnh hơn bảng crosstab vì bảng crosstab chỉ được 2 chiều.  Ví dụ dưới đây là bảng kết hợp giữa 3 biến Giới tính, Tình trạng hôn nhân, và Học vấn Tóm tắt Custom

03
Th2
Cách sử dụng Independent Samples T-Test trong SPSS

Định nghĩa Independent Samples T-Test Independent Samples T-Test dùng để so sánh giá trị trung bình của hai nhóm. Ví dụ cần so sánh giữa hai biến: biến nhóm tuổi( <30 tuổi và >30 tuổi), và biến mức độ Hài Lòng. Ta cần biết giữa hai nhóm tuổi này, thì nhóm nào có mức độ

03
Th2
Xử lý câu hỏi nhiều lựa chọn Multiple Response

Đối với câu hỏi nhiều lựa chọn, khi cần phân tích tần số chúng ta không sử dụng công cụ thống kê mô tả tính Frequency thông thường. Công cụ dùng xử lý câu hỏi nhiều lựa chọn là Multiple Response. Thực hành từng bước xử lý câu hỏi nhiều lựa chọn Multiple Response 1.Định

03
Th2
Thực hành cách phân tích Paired Samples T-Test

Cách thức tiến hành kiểm định giả thuyết về trị trung bình của 2 tổng thể phụ thuộc hay phối hợp từng cặp (Paired Samples T-test) Vào menu Analyze -> Compare means -> Paired-samples T-test Chọn cặp biến muốn so sánh (nhấn giữ phím ctrl để chọn 2 biến) đưa vào khung Paired Variable(s).

03
Th2
Listwise và pairwise trong thống kê với SPSS

Khi thu thập dữ liêu nghiên cứu, có thể có trường hợp ta không thu thập đủ thông tin, những giá trị đó gọi là missing values. Phân tích dữ liệu với SPSS , hoặc AMOS chia ra như sau: – Exclude Case Listwise : khi phân tích sẽ loại bỏ hoàn toàn dòng dữ liệu

03
Th2
So sánh sự khác nhau giữa hệ số beta đã chuẩn hóa và chưa chuẩn hóa khi phân tích hồi quy

Hệ số B chưa chuẩn hóa so với hệ số Beta đã chuẩn hóa Khi phân tích hồi quy có trường hợp các bạn  thắc mắc khi nào sẽ dùng hệ số B chưa chuẩn hóa, khi nào sẽ dùng hệ số đã chuẩn hóa:  Unstandardized Coefficients(B) và Standardized Coefficients(Beta), cũng có bạn hỏi

03
Th2
Giới thiệu mô hình chất lượng dịch vụ khi dùng làm luận văn, điểm mạnh và điểm yếu

SERVQUAL là một mô hình dùng dể quản lý chất lượng dịch vụ, được Zeithaml, Parasuraman & Berry phát triển vào giữa những năm 1980 để đo lường chất lượng trong mảng dịch vụ. Thang  đo  SERVQUAL  được ghép từ 2 từ SERVice – Dịch vụ và QUALity – Chất  lượng. Các tác giả ban

03
Th2
Hiển thị Font Tiếng Việt trong SPSS ( cả hai loại UNICODE và VNI)

SPSS có một bộ soạn thảo dữ liệu tương tự như excel, giúp nhập các dữ liệu và mô tả các thuộc tính của chúng. SPSS hỗ trợ một công cụ rất đơn giản để tạo ra các đồ thị và khi đã tạo được một đồ thị, nhờ giao diện này mà người

03
Th2
So sánh SPSS và EVIEWS khi phân tích hồi quy, cùng một bộ số liệu

SPSS và EVIEWS là hai công cụ thống kê mạnh. Mỗi phần mềm có lợi thế riêng của nó. EViews có thể được sử dụng để phân tích thống kê tổng hợp và phân tích kinh tế, chẳng hạn như cross-section và phân tích dữ liệu bảng và dự báo, ước lượng  chuỗi thời gian. Ở đây,

03
Th2
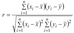
Hệ số tương quan pearson, cách thao tác phân tích tương quan trong SPSS

Hệ số tương quan (r) là một chỉ số thống kê đo lường mối liên hệ tương quan giữa hai biến số, như giữa MỨC ĐỘ HÀI LÒNG (y) và TIỀN LƯƠNG (x).  Hệ số tương quan có giá trị từ -1 đến 1.  Hệ số tương quan bằng 0 (hay gần 0) có

03
Th2
So sánh mô hình chất lượng dịch vụ SERVQUAL và SERVPERF

Mô hình chất lượng dịch vụ khái niệm và sự khác nhau cơ bản của mô hình SERVQUAL và SERVPERF. Khi bộ thang đo SERVQUAL (Parasuraman và cộng sự, 1988) được công bố đã có những  tranh luận về vấn đề làm thế nào để đo lường chất lượng dịch vụ tốt nhất. Gần

03
Th2
Cách tính giá trị nhân số đại diện cho nhân tố sau khi phân tích EFA

Quy trình: Sau khi chạy Cronbach’s alpha để kiểm tra độ tin cậy thang đo xong, bạn sẽ phân tích nhân tố EFA để khẳng định lại mô hình nghiên cứu của bạn có bao nhiêu nhân tố. Sau đó để tính được giá trị trung bình đại diện cho nhân tố để có

03
Th2
Xử lý lỗi “Text value unmappable in the current server locale” như thế nào?

Dạo này ad nhận được nhiều mail của các bạn hỏi về cách xử lý một lỗi rất khó chịu, đó là lỗi “Text value unmappable in the current server locale”, khi gặp lỗi này thì không thể mở tập tin SPSS được. Nên nay ad trình bày kinh nghiệm xử lý để các

03
Th2
Hướng dẫn thực hành phân tích hồi quy nhị phân binary logistic

Về mô hình: đây là mô hình xác định khả năng trả nợ dựa vào  6 yếu tố độc lập. Mô hình có 6 biến độc lập: THUNHAP, TUOI, TAISAN, DIENTICHDAT, HOCVAN, SOLUONGBATDONGSAN Và 1 biến phụ thuộc là TRANO. Biến phụ thuộc dạng nhị phân có hai giá trị 0 và 1 tương

03
Th2
Cách chuyển từ biến Category sang Dichotomy

Chuyển 1 biến dạng phân loại (Category) thành dạng biến lưỡng phân (Dichotomy) . Biến category là biến có nhiều biển hiện, ví dụ Xanh, Đỏ, Vàng. Biến Dichotomy là biến chỉ có 2 biểu hiện, ví dụ có màu hoặc không có màu Được dùng khi gặp câu hỏi có nhiều trả lới (MA)

03
Th2
Dịch spss tiếng việt cho phần kết quả

Dịch spss Tiếng Việt Khi làm luận văn, chạy các bước cronbach’s alpha, EFA, tương quan, hồi quy, một số trường hợp giáo viên sẽ yêu cầu dịch các bảng biểu qua tiếng Việt. Do đó nhóm hỗ trợ SPSS dịch một số thuật ngữ trong phần kết quả của SPSS qua tiếng Việt.

03
Th2
Cài SPSS bị lỗi: Error 1311. Source file not found

Khi cài SPSS một số trường hợp sẽ gặp lỗi sau: “Error 1311. Source file not found.. Verify that the file exists and that you can access it Nguyên nhân là do chưa giải nén thư mục cài đặt. Ví dụ toàn bộ thư mục cài đặt được đặt trong file giainen.zip , các bạn double

03
Th2
Xử lý lỗi chỉ số KMO không xuất hiện khi phân tích nhân tố EFA

Khi tiến hành phân tích nhân tố, một số trường hợp sẽ bị lỗi là chỉ số KMO không xuất hiện trong bảng kết quả , trong khi mọi chỉ số khác đều đầy đủ. Vậy làm thế nào để KMO hiện ra? Nay nhóm MBA Bách Khoa hotrospss@gmail.com sẽ hướng dẫn bạn cách

03
Th2
So sánh quan hệ giữa 7 phương pháp phân tích đa biến : Regression, Discriminant, Conjoint, SEM, ANOVA, MANOVA, Canonical Correlation

1.Multiple Regression Analysis Hồi quy đa biến Phương trình toán hoc: Biến độc lập: biến dạng metric hoặc nometric Biến phụ thuộc: một biến dạng metric 2.Mô hình cấu trúc tuyến tính Structural Equation Modeling Phương trình toán hoc: Gồm nhiều phương trình hồi quy đa biến tập hợp lại với nhau, mỗi phương trình

03
Th2
  • 1
  • 2
  • 3
  • 4
  • 5
  • 6
Doanh nghiệp học
  • Quản trị văn phòngQuản trị văn phòng
  • Quản trị logistics doanh nghiệpQuản trị logistics doanh nghiệp
  • Kinh tế học vi môKinh tế học vi mô
  • Doanh nghiệp: bản chất và tồn vongDoanh nghiệp: bản chất và tồn vong
  • Quản trị sản xuất trong doanh nghiệpQuản trị sản xuất trong doanh nghiệp
  • Quản trị bán lẻQuản trị bán lẻ

Kỹ năng mềm
  • Hướng dẫn toàn tập Microsoft WordHướng dẫn toàn tập Microsoft Word
  • Kiếm tiền trực tuyến online (Google Adsense, Youtube, Website …)Kiếm tiền trực tuyến online (Google Adsense, Youtube, Website …)
  • Học làm Website WordPress chuyên nghiệp, dễ dàng, không codeHọc làm Website WordPress chuyên nghiệp, dễ dàng, không code
  • Hướng dẫn cài Windows và sử dụng dễ dàngHướng dẫn cài Windows và sử dụng dễ dàng
Học thuyết doanh nghiệp
  • Học thuyết chi phí giao dịch (transaction cost economics)Học thuyết chi phí giao dịch (transaction cost economics)
  • Thuyết lợi thế cạnh tranh (Competitive Advantage Theory)Thuyết lợi thế cạnh tranh (Competitive Advantage Theory)
  • Thuyết cấu trúc tổ chức (Organizational structure theory)Thuyết cấu trúc tổ chức (Organizational structure theory)
  • Học thuyết thể chế (Institutional Theory)Học thuyết thể chế (Institutional Theory)
  • Hệ sinh thái doanh nghiệp (Organizational Ecology Theory)Hệ sinh thái doanh nghiệp (Organizational Ecology Theory)
  • Học thuyết quyền lực (Theories of Organizational Power)Học thuyết quyền lực (Theories of Organizational Power)

Hãy ủng hộ và đồng hành cùng chúng tôi

... trong chia sẻ và phổ biến kiến thức bằng các hành động thiết thực và hoàn toàn miễn phí của bạn.

hotlineTThảo luận đóng góp ý kiến

Nhiệt tình tham gia thảo luận và nêu ý kiến đóng góp, kinh nghiệm thực tế của bạn qua từng bài viết, videos trên website của chúng tôi.

hỗ trợ hkt Chia sẻ có bản quyền

Hãy cập nhật và chia sẻ rộng rãi các bài viết, videos có ghi rõ nguồn của chúng tôi trên Facebook và các kênh thông tin của bạn.

hỗ trợ hkt Đăng ký và likes bài viết, videos

Ủng hộ chúng tôi về tinh thần và bằng những hành động thiết thực và hoàn toàn miễn phí của các bạn trên kênh thông tin của chúng tôi.

Kênh kiến thức HKT

Giới thiệu Kênh chia sẻ kiến thức HKT
Giới thiệu Cty CP Tư vấn Quản trị HKT

Phương pháp nghiên cứu

Phương pháp nghiên cứu định lượng
Phương pháp nghiên cứu định tính
Hướng dẫn sử dụng phần mềm thống kê

Công ty CP Tư vấn Quản trị HKT

      "Học thức - Kinh nghiệm - Thành công"
- Địa chỉ: Bắc Từ Liêm, Hà Nội, Việt Nam
- Email: Info@HktConsultant.com

  • Trang chủ
  • Phương pháp nghiên cứu
    • Phương pháp định lượng
      • Phương pháp luận
      • Điều tra bảng hỏi
      • Phân tích thống kê & Kinh tế lượng
      • Phân tích văn bản
      • Phân tích tổng hợp
    • Phương pháp định tính
      • Phương pháp luận
      • Phỏng vấn điều tra
      • Nghiên cứu tính huống – điển hình
      • Nghiên cứu hành động
      • Nghiên cứu nội dung
      • Nghiên cứu thực nghiệm
      • Phương pháp quan sát
      • Hiện tượng học
    • Phương pháp tổng quan
      • Phương pháp luận
      • Các phương pháp tổng quan
  • Phân tích thống kê
    • Phân tích thống kê & Kinh tế lượng
      • Hồi quy tuyến tính OLS
      • Cấu trúc mạng tuyến tính SEM
    • Hướng dẫn phần mềm thống kê
      • Sử dụng phần mềm STATA
      • Sử dụng phần mềm SPSS
      • Phân tích SEM – AMOS
      • Phần mềm SmartPLS
      • Phần mềm Eviews
  • Doanh nghiệp học
    • Quản lý doanh nghiệp
    • Chiến lược doanh nghiệp
    • Học thuyết doanh nghiệp
    • Khoa học quản lý
    • Kinh tế vi mô
    • Tin học văn phòng Microsoft Office
  • Giới thiệu