Skip to content
    • info@phuongphapnghiencuu.com
  • Kết nối và chia sẻ cùng chúng tôi
  • -
  • Giới thiệu
    • info@phuongphapnghiencuu.com
HKT ConsultantHKT Consultant
  • Trang chủ
  • Phương pháp nghiên cứu
    • Phương pháp định lượng
      • Phương pháp luận
      • Điều tra bảng hỏi
      • Phân tích thống kê & Kinh tế lượng
      • Phân tích văn bản
      • Phân tích tổng hợp
    • Phương pháp định tính
      • Phương pháp luận
      • Phỏng vấn điều tra
      • Nghiên cứu tính huống – điển hình
      • Nghiên cứu hành động
      • Nghiên cứu nội dung
      • Nghiên cứu thực nghiệm
      • Phương pháp quan sát
      • Hiện tượng học
    • Phương pháp tổng quan
      • Phương pháp luận
      • Các phương pháp tổng quan
  • Phân tích thống kê
    • Phân tích thống kê & Kinh tế lượng
      • Hồi quy tuyến tính OLS
      • Cấu trúc mạng tuyến tính SEM
    • Hướng dẫn phần mềm thống kê
      • Sử dụng phần mềm STATA
      • Sử dụng phần mềm SPSS
      • Phân tích SEM – AMOS
      • Phần mềm SmartPLS
      • Phần mềm Eviews
  • Doanh nghiệp học
    • Quản lý doanh nghiệp
    • Chiến lược doanh nghiệp
    • Học thuyết doanh nghiệp
    • Khoa học quản lý
    • Kinh tế vi mô
    • Tin học văn phòng Microsoft Office
Số đo độ phân tán (Measure of dispersion)

Độ biến thiên của tiêu thức dùng đế đánh giá mức độ đại diện của số bình quân đối với tổng thế được nghiên cứu. Trị số này tính ra càng lớn, độ biến thiên của tiêu thức càng lớn do đó mức độ đại diện của số bình quân đối với tổng thế

04
Th2
Phương pháp chỉ số

Hiện nay các nhà doanh nghiệp có thể nắm bắt thông tin trên nhiều phương tiện thông tin khác nhau, họ quan tâm đến giá cả hay khối lượng sản phẩm từng mặt hàng hay nhiều mặt hàng tăng lên hay giảm xuống qua thời gian trên một thị trường hay nhiều thị trường

04
Th2
Phân phối chuẩn

1. Đinh nghĩa 2. Phân phối chuẩn tắc (đơn giản)

04
Th2
Phân phối của một vài đại lượng thống kê

1. Phân phối Chi bình phương 2. Phân phối Student 3. Phân phối Fisher

04
Th2
Phân phối mẫu

1. Khái niệm Mục đích của phân tích thống kê là sử dụng số liệu thu thập từ mẫu như trung bình và tỷ lệ mẫu để ước  lượng giá trị   thực của  tổng thể. Quá trình khái quát quá  kết  quả nghiên cứu của mẫu cho tổng thể chung được gọi là suy

04
Th2
Ước lượng trung bình tổng thể

Ví dụ 4.1: Đe xác định trọng lượng trung bình của các bao bột mì được đóng bằng máy tự động, người ta chọn ngẫu nhiên 15 bao và tính được trọng lượng trung bình 39,8kg. Tìm khoảng tin cậy 99% của trọng lượng trung bình các bao bột mì. Giả sử trọng lượng

04
Th2
Ước lượng tỉ lệ tổng thể

Trong nhiều trường hợp ta có thể quan tâm đến tỷ lệ các đơn vị có một tính chất nào đó trong tổng thể. Chẳng hạn, tỷ lệ khách hàng sử dụng một loại sản phẩm nào đó hoặc tỷ lệ phế phẩm trong sản xuất,… Khi đó, ta thực hiện ước lượng cho

04
Th2
Ước lượng phương sai tổng thể

Để xem xét độ đồng đều của dữ liệu hoặc chất lượng của sản phẩm, trong một số trường hợp ta có thể sử dụng ước lượng phương sai của tổng thể để xem xét. Để thực hiện bài toán này ta thực hiện như sau: Chọn một mẫu ngẫu nhiên n quan sát

04
Th2
Ước lượng chênh lệch hai trung bình tổng thể

Trong nhiều trường hợp ta có thể quan tâm đến sự khác biệt giữa trung bình 2 tổng thể. Chẳng hạn, khác biệt về doanh số trung bình trong tuần từ hai phương pháp trình bày hàng hóa, chào hàng khác nhau hoặc sự khác biệt giữa năng suất cây trồng do sử dụng

04
Th2
Ước lượng cỡ mẫu (Estimating the sample size)

Đe tăng độ chính xác của ước lượng, theo như chúng ta đã nghiên cứu những phương pháp đe ước lượng khoảng tin cậy, thì chỉ có một hướng đe đạt được đó là cần xác định cỡ mẫu có kích thước tối thiểu. 1. Cỡ mẫu trong ước lượng khoảng tin cậy của

04
Th2
Một số khái niệm Kiểm định giả thuyết

1. Các loại giả thuyết trong thống kê 2. Các loại sai lầm trong kiểm định giả thuyết . Sai lầm loại 1 : Giả thuyết H0đúng nhưng qua kiểm định ta lại kết luận giả thuyết sai, và do vậy bác bỏ giả thuyết H0 ở mức ý nghĩa a nào đó. Có

05
Th2
Kiểm định tham số

1. Kiểm định trung bình tổng thể Để thực hiện kiểm định này giả sử ta có một mẫu ngẫu nhiên n quan sát x1, x2,… xn từ tổng thể X có trung bình là p, phương sai ơ2, trung bình mẫu là x, phương sai mẫu S2, mức ý nghĩa kiểm định a

05
Th2
Phân tích phương sai (ANOVA)

1. Phân tích phương sai một chiều: Đẳng thức trên thể hiện tinh thần của bài toán phân tích phương sai: SST: Thể hiện sự biến thiên của hiện tượng nghiên cứu SSG: Thể hiện sự biến thiên do yếu tố cột tạo ra SSW: Thể hiện sự biến thiên do các yếu tố

05
Th2
Hệ số tương quan

1. Hệ số tương quan 2. Kiểm đinh giả thuyết về mối liên hệ tương quan

05
Th2
Mô hình hồi quy tuyến tính đơn giản

1. Mô hình hồi qui tuyến tính một chiều (tuyến tính đơn giản) Ví dụ 6.1: Tìm hiểu mối liên hệ giữa chi tiêu (Y) và thu nhập sau khi trừ thuế của hộ gia đình (X): Với số liệu trên ta có nhận xét, tương ứng với mỗi mức thu nhập các hộ

05
Th2
Hồi quy tuyến tính bội

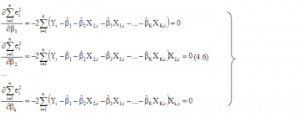
1. Mô hình hồi bội 2. Phương trình hồi qui bội của mẫu Phương trình y = a + b^! + … + bkxk được gọi là phương trình hồi qui bội của mẫu. Chúng ta cũng có thể tìm được nghiệm (a, bi,…, bk) bằng phương pháp ma trận, tuy nhiên dù phương

05
Th2
Dãy số thời gian

1. Định nghĩa 2. Phân loại Căn cứ vào đặc điếm thời gian người ta thường chia dãy số thời gian thành hai loại: Dãy số thời kỳ: là dãy số biếu hiện sự thay đổi của hiện tượng qua từng thời kỳ nhất định. Ví dụ, giá trị hàng xuất khẩu của một

05
Th2
Một số chỉ tiêu cơ bản về dãy số thời gian

1. Mức độ trung bình theo thời gian 2. Lượng tăng giảm tuyệt đối Là chỉ tiêu biểu hiện sự thay đổi về giá trị tuyệt đối của hiện tượng giữa hai thời kỳ hoặc hai thời điểm nghiên cứu. 3. Tốc độ phát triển (lần, %) Là chỉ tiêu biểu hiện sự biến

05
Th2
Điều tra chọn mẫu, ưu điểm, hạn chế và điều kiện vận dụng

1. Khái niệm điều tra chọn mẫu: Điều tra chọn mẫu là loại điều tra không toàn bộ, trong đó người ta chọn một cách ngẫu nhiên một số đủ lớn đơn vị đại diện trong toàn bộ các đơn vị của tổng thể để điều tra rồi dùng kết quả thu thập được

05
Th2
Sai số chọn mẫu và phạm vi sai số chọn mẫu

1. Sai số chọn mẫu: Sai số chọn mẫu là sự khác nhau giữa giá trị ước lượng của mẫu và giá trị của tổng thể. Sai số chọn mẫu còn gọi là sai số do tính đại diện. Sai số này chỉ xảy ra trong điều tra chọn mẫu do chỉ điều tra

05
Th2
  • 1
  • 2
  • 3
  • 4
  • 5
  • 6
  • 7
Doanh nghiệp học
  • Kinh doanh quốc tế và Xuất nhập khẩuKinh doanh quốc tế và Xuất nhập khẩu
  • Quản trị logistics doanh nghiệpQuản trị logistics doanh nghiệp
  • Quản trị chiến lược doanh nghiệpQuản trị chiến lược doanh nghiệp
  • Quản trị văn phòngQuản trị văn phòng
  • Quản trị nhân sự và văn hóa doanh nghiệpQuản trị nhân sự và văn hóa doanh nghiệp
  • Thị trường chứng khoán: phân tích và đầu tư chứng khoánThị trường chứng khoán: phân tích và đầu tư chứng khoán

Kỹ năng mềm
  • Hướng dẫn toàn tập Microsoft WordHướng dẫn toàn tập Microsoft Word
  • Hướng dẫn cài Windows và sử dụng dễ dàngHướng dẫn cài Windows và sử dụng dễ dàng
  • Hướng dẫn toàn tập Microsoft ExcelHướng dẫn toàn tập Microsoft Excel
  • Học làm Website WordPress chuyên nghiệp, dễ dàng, không codeHọc làm Website WordPress chuyên nghiệp, dễ dàng, không code
Học thuyết doanh nghiệp
  • Học thuyết ngẫu nhiên (Contingency Theory)Học thuyết ngẫu nhiên (Contingency Theory)
  • Học thuyết nguồn lực (Resource-based theory)Học thuyết nguồn lực (Resource-based theory)
  • Học thuyết ra quyết định (Decision Theory)Học thuyết ra quyết định (Decision Theory)
  • Thuyết tiến hóa doanh nghiệp (Evolutionary Theory of the Firm)Thuyết tiến hóa doanh nghiệp (Evolutionary Theory of the Firm)
  • Học thuyết bàn tay vô hình (the Invisible hand)Học thuyết bàn tay vô hình (the Invisible hand)
  • Thuyết tổ chức học hỏi (Organizational learning theory)Thuyết tổ chức học hỏi (Organizational learning theory)

Hãy ủng hộ và đồng hành cùng chúng tôi

... trong chia sẻ và phổ biến kiến thức bằng các hành động thiết thực và hoàn toàn miễn phí của bạn.

hotlineTThảo luận đóng góp ý kiến

Nhiệt tình tham gia thảo luận và nêu ý kiến đóng góp, kinh nghiệm thực tế của bạn qua từng bài viết, videos trên website của chúng tôi.

hỗ trợ hkt Chia sẻ có bản quyền

Hãy cập nhật và chia sẻ rộng rãi các bài viết, videos có ghi rõ nguồn của chúng tôi trên Facebook và các kênh thông tin của bạn.

hỗ trợ hkt Đăng ký và likes bài viết, videos

Ủng hộ chúng tôi về tinh thần và bằng những hành động thiết thực và hoàn toàn miễn phí của các bạn trên kênh thông tin của chúng tôi.

Kênh kiến thức HKT

Giới thiệu Kênh chia sẻ kiến thức HKT
Giới thiệu Cty CP Tư vấn Quản trị HKT

Phương pháp nghiên cứu

Phương pháp nghiên cứu định lượng
Phương pháp nghiên cứu định tính
Hướng dẫn sử dụng phần mềm thống kê

Công ty CP Tư vấn Quản trị HKT

      "Học thức - Kinh nghiệm - Thành công"
- Địa chỉ: Bắc Từ Liêm, Hà Nội, Việt Nam
- Email: Info@HktConsultant.com

  • Trang chủ
  • Phương pháp nghiên cứu
    • Phương pháp định lượng
      • Phương pháp luận
      • Điều tra bảng hỏi
      • Phân tích thống kê & Kinh tế lượng
      • Phân tích văn bản
      • Phân tích tổng hợp
    • Phương pháp định tính
      • Phương pháp luận
      • Phỏng vấn điều tra
      • Nghiên cứu tính huống – điển hình
      • Nghiên cứu hành động
      • Nghiên cứu nội dung
      • Nghiên cứu thực nghiệm
      • Phương pháp quan sát
      • Hiện tượng học
    • Phương pháp tổng quan
      • Phương pháp luận
      • Các phương pháp tổng quan
  • Phân tích thống kê
    • Phân tích thống kê & Kinh tế lượng
      • Hồi quy tuyến tính OLS
      • Cấu trúc mạng tuyến tính SEM
    • Hướng dẫn phần mềm thống kê
      • Sử dụng phần mềm STATA
      • Sử dụng phần mềm SPSS
      • Phân tích SEM – AMOS
      • Phần mềm SmartPLS
      • Phần mềm Eviews
  • Doanh nghiệp học
    • Quản lý doanh nghiệp
    • Chiến lược doanh nghiệp
    • Học thuyết doanh nghiệp
    • Khoa học quản lý
    • Kinh tế vi mô
    • Tin học văn phòng Microsoft Office
  • Giới thiệu