Skip to content
    • info@phuongphapnghiencuu.com
  • Kết nối và chia sẻ cùng chúng tôi
  • -
  • Giới thiệu
    • info@phuongphapnghiencuu.com
HKT ConsultantHKT Consultant
  • Trang chủ
  • Phương pháp nghiên cứu
    • Phương pháp định lượng
      • Phương pháp luận
      • Điều tra bảng hỏi
      • Phân tích thống kê & Kinh tế lượng
      • Phân tích văn bản
      • Phân tích tổng hợp
    • Phương pháp định tính
      • Phương pháp luận
      • Phỏng vấn điều tra
      • Nghiên cứu tính huống – điển hình
      • Nghiên cứu hành động
      • Nghiên cứu nội dung
      • Nghiên cứu thực nghiệm
      • Phương pháp quan sát
      • Hiện tượng học
    • Phương pháp tổng quan
      • Phương pháp luận
      • Các phương pháp tổng quan
  • Phân tích thống kê
    • Phân tích thống kê & Kinh tế lượng
      • Hồi quy tuyến tính OLS
      • Cấu trúc mạng tuyến tính SEM
    • Hướng dẫn phần mềm thống kê
      • Sử dụng phần mềm STATA
      • Sử dụng phần mềm SPSS
      • Phân tích SEM – AMOS
      • Phần mềm SmartPLS
      • Phần mềm Eviews
  • Doanh nghiệp học
    • Quản lý doanh nghiệp
    • Chiến lược doanh nghiệp
    • Học thuyết doanh nghiệp
    • Khoa học quản lý
    • Kinh tế vi mô
    • Tin học văn phòng Microsoft Office
Đơn vị chọn mẫu, dàn chọn mẫu

1. Đơn vị chọn mẫu: Đơn vị chọn mẫu là các đơn vị cơ bản hoặc nhóm đơn vị cơ bản được xác định rõ ràng, tương đối đồng đều và có thể quan sát được, thích hợp cho mục đích chọn mẫu. Ví dụ: Doanh nghiệp, hộ gia đình, đơn vị diện tích

05
Th2
Các hình thức và phương pháp chọn mẫu

1. Các hình thức thu thập số liệu thống kê: a) Chọn mẫu phi xác suất: Chọn mẫu thuận tiện: Các đơn vị mẫu được chọn ở tại một địa điểm và vào một thời gian nhất định. Ví dụ: Chọn mẫu những người đi mua sắm ở siêu thị METRO Cần Thơ và

05
Th2
Sai số trong điều tra thống kê

Trong điều tra thống kê có hai loại sai số: Sai số chọn mẫu (sai số do tính đại diện của số liệu vì chỉ chọn một bộ phận các đơn vị để điều tra) và sai số phi chọn mẫu (sai số thuộc về lỗi của các quy định, hướng dẫn, giải thích

05
Th2
Kinh tế lượng là gì?

1. Định nghĩa kỉnh tế lượng Thuật ngữ tiếng Anh “Econometrics” được ghép từ hai gốc từ “Econo” có nghĩa là “kinh tế” và Metrics có nghĩa là “Đo lường”. Thuật ngữ này do A. K. Ragnar Frisch (Giáo sư Kinh tế học người Na Uy-giải thưởng Nobel về kinh tế học, 1969) cùng

05
Th2
Phương pháp luận của kinh tế lượng

Phân tích kinh tế lượng được thực hiện theo các bước sau đây: 1. Phân tích lý thuyết kỉnh tế (economic theory): Nêu ra các giả thuyết về các mối quan hệ giũa các biến kinh tế Chẳng hạn kinh tế vĩ mô khẳng định rằng mức tiêu dùng của các hộ gia đình

05
Th2
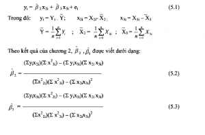
Giới thiệu mô hình hồi quy đa biến

Trong mối liên hệ kinh tế giữa hai biến, ví dụ trường hợp mức chi tiêu ứong xã hội, mô hình (1.1) được trình bày như sau:                                                    (2.1) trong

05
Th2
Các giả định của mô hình hồi quy đa biến

Cũng như mô hình hai biến, để việc khảo sát mô hình được dễ dàng hơn, cần phải có các giả định để cho mô hình đơn giản hơn trước khi khảo sát. Khi đã có phương pháp ước lượng mô hình dưới điều kiện các giả định được thỏa, ta sẽ tìm phương

05
Th2
Ước lượng bình phương nhỏ nhất

1. Ước lượng bình phương nhỏ nhất của p Phương pháp ước lượng thường dùng nhất trong việc khảo sát các mô hình tuyến tính là “phương pháp bình phương nhỏ nhất – ordinary least squares”. Trong phần này, chúng ta sẽ tìm hiểu việc ứng dụng phương pháp này để ước lượng các

05
Th2
Kiểm định giả thuyết mô hình

Chúng ta đã tìm được ước lượng bình phương nhỏ nhất của các thông số của mô hình. Thế các thông số này vào mô hình (2.4), ta được một phương trình tuyến tính, là ước lượng bình phương nhỏ nhất của mô hình. Ngoài ra, chúng ta cũng đã tìm hiểu phân phối

05
Th2
Bản chất, hậu quả của hiện tượng phương sai sai số thay đổi

1. BẢN CHẤT CỦA HIỆN TƯỢNG PHƯƠNG SAI CỦA SAI SỐ THAY ĐỐI Để phân biệt rõ giữa phương sai sai số không đổi và phương sai sai số thay đổi, chúng ta hãy xem xét thí dụ về một mô hình hồi qui 2 biến trong đó biến phụ thuộc Y là tiết

05
Th2
Phương pháp phát hiện phương sai của sai số thay đổi

1. Xem xét đồ thị của phần sai số Sai số được vẽ ưến đồ thị tương ứng với biến phụ thuộc nhằm xem xét mối liên hệ giữa phương sai sai số với biến này. Ngày nay, nhiều phần mềm máy tính có thể làm việc này rất dễ dàng. Nếu trị tuyệt

05
Th2
Bản chất và nguyên nhân của hiện tượng Tự tương quan

1. Tự tương quan là gì? Thuật ngữ tương quan có thể hiểu là sự tương quan giữa các thành phần của chuỗi các quan sát được sắp xếp theo thứ tự thời gian (trong các số liệu chuỗi thời gian) hoặc không gian (trong số liệu chéo) Trong mô hình hồi qui tuyến

05
Th2
Ước lượng bình phương nhỏ nhất khi có Tự tương quan

Giả sử tất cả các giả định đối với mô hình hồi qui tuyến tính cổ điển đều thoả mãn trừ giả định không tương quan giữa các sai số ngẫu nhiên ut. Trong trường hợp này điều gì sẽ xảy ra đối với các ước lượng OLS và phương sai của

05
Th2
Hậu quả của việc sử dụng phương pháp OLS khi có Tự tương quan

Khi có hiện tượng tự tương quan, nếu chúng ta cứ sử dụng phương pháp OLS thì sẽ như thế nào? Ta có một số nhận xét sau: Các ước lượng OLS vẫn là các ước lượng tuyến tính, không chệch, nhưng chứng không phải là ước lượng hiệu quả nữa. Nói cách khác,

05
Th2
Bản chất của đa cộng tuyến

Trong mô hình hồi qui đa biến, chúng ta đã giả định giữa các biến giải thích của mô hình không có tương quan với nhau (không có hiện tượng cộng tuyến). Thuật ngữ đa cộng tuyến do Ragnar Frisch đề nghị. Khởi đầu nó có nghĩa là sự tồn tại mối quan hệ

05
Th2
Ước lượng trong trường hợp có Đa cộng tuyến

1. Trường hợp có đa cộng tuyến hoàn hảo: Trường hợp đa cộng tuyến hoàn hảo, các hệ số hồi qui không xác định và các sai số chuẩn của chúng là vô hạn. Hiện tượng này có thể giải thích dưới dạng mô hình hồi qui 3 biến. Sử dụng dạng độ lệch,

05
Th2
Hậu quả của Đa cộng tuyến

Trong trường hợp có tồn tại đa cộng tuyến gần hoàn hảo (đa cộng tuyến cao) thì có thể gặp các tình huống sau: 1. Phương sai và hiệp phương sai của các ước lượng OLS lớn Để thấy được phương sai và hiệp phương sai lớn, hãy nhớ lại đối với mô hình

05
Th2
Cách phát hiện Đa cộng tuyến

1. Hệ số R2 lốn nhưng tỷ số t nhỏ 1.1. Tương quan cặp giữa các biến giải thích cao Hệ số này tính như sau: 1.2. Sử dụng mô hình hồi qui phụ Hồi qui phụ là hồi qui một biến giải thích X nào đó theo các biến còn lại. Tính R2

05
Th2
Các loại sai sót của dạng Mô hình hồi quy

Để có thể tìm hiểu các loại sai sót của dạng mô hình hồi qui, chúng ta bắt đầu bằng một ví dụ về hàm chi phí của doanh nghiệp mà chúng ta đã quen thuộc khi nghiên cứu kinh tế vi mô. Đe thỏa mãn các giả định về chi phí, hàm chi

05
Th2
Phương pháp phát hiện các loại sai sót của dạng Mô hình hồi quy

1. Phát hiện sự hiện diện của các biến không liên quan Giả sử chúng ta xây dựng mô hình k biến để giải thích một hiện tượng nghiên cứu nào đó: trị R2 cao và hệ số Durbin-Watson d chấp nhận được (vào khoảng 2), …. Tuy nhiên, việc khai thác dữ liệu

05
Th2
  • 1
  • 2
  • 3
  • 4
  • 5
  • 6
  • 7
Doanh nghiệp học
  • Khoa học quản lý doanh nghiệpKhoa học quản lý doanh nghiệp
  • Quản trị bán hàng doanh nghiệpQuản trị bán hàng doanh nghiệp
  • Quản trị chiến lược doanh nghiệpQuản trị chiến lược doanh nghiệp
  • Marketing chiến lược và thương hiệu doanh nghiệpMarketing chiến lược và thương hiệu doanh nghiệp
  • Thị trường chứng khoán: phân tích và đầu tư chứng khoánThị trường chứng khoán: phân tích và đầu tư chứng khoán
  • Quản trị sản xuất trong doanh nghiệpQuản trị sản xuất trong doanh nghiệp

Kỹ năng mềm
  • Hướng dẫn toàn tập Microsoft ExcelHướng dẫn toàn tập Microsoft Excel
  • Hướng dẫn cài Windows và sử dụng dễ dàngHướng dẫn cài Windows và sử dụng dễ dàng
  • Kiếm tiền trực tuyến online (Google Adsense, Youtube, Website …)Kiếm tiền trực tuyến online (Google Adsense, Youtube, Website …)
  • Hướng dẫn toàn tập Microsoft WordHướng dẫn toàn tập Microsoft Word
Học thuyết doanh nghiệp
  • Thuyết siêu cạnh tranh (hyper-competition theory)Thuyết siêu cạnh tranh (hyper-competition theory)
  • Học thuyết quyền lực (Theories of Organizational Power)Học thuyết quyền lực (Theories of Organizational Power)
  • Thuyết cấu trúc tổ chức (Organizational structure theory)Thuyết cấu trúc tổ chức (Organizational structure theory)
  • Học thuyết nguồn lực (Resource-based theory)Học thuyết nguồn lực (Resource-based theory)
  • Thuyết lợi thế cạnh tranh (Competitive Advantage Theory)Thuyết lợi thế cạnh tranh (Competitive Advantage Theory)
  • Học thuyết quyền sở hữu (Property Rights Theory)Học thuyết quyền sở hữu (Property Rights Theory)

Hãy ủng hộ và đồng hành cùng chúng tôi

... trong chia sẻ và phổ biến kiến thức bằng các hành động thiết thực và hoàn toàn miễn phí của bạn.

hotlineTThảo luận đóng góp ý kiến

Nhiệt tình tham gia thảo luận và nêu ý kiến đóng góp, kinh nghiệm thực tế của bạn qua từng bài viết, videos trên website của chúng tôi.

hỗ trợ hkt Chia sẻ có bản quyền

Hãy cập nhật và chia sẻ rộng rãi các bài viết, videos có ghi rõ nguồn của chúng tôi trên Facebook và các kênh thông tin của bạn.

hỗ trợ hkt Đăng ký và likes bài viết, videos

Ủng hộ chúng tôi về tinh thần và bằng những hành động thiết thực và hoàn toàn miễn phí của các bạn trên kênh thông tin của chúng tôi.

Kênh kiến thức HKT

Giới thiệu Kênh chia sẻ kiến thức HKT
Giới thiệu Cty CP Tư vấn Quản trị HKT

Phương pháp nghiên cứu

Phương pháp nghiên cứu định lượng
Phương pháp nghiên cứu định tính
Hướng dẫn sử dụng phần mềm thống kê

Công ty CP Tư vấn Quản trị HKT

      "Học thức - Kinh nghiệm - Thành công"
- Địa chỉ: Bắc Từ Liêm, Hà Nội, Việt Nam
- Email: Info@HktConsultant.com

  • Trang chủ
  • Phương pháp nghiên cứu
    • Phương pháp định lượng
      • Phương pháp luận
      • Điều tra bảng hỏi
      • Phân tích thống kê & Kinh tế lượng
      • Phân tích văn bản
      • Phân tích tổng hợp
    • Phương pháp định tính
      • Phương pháp luận
      • Phỏng vấn điều tra
      • Nghiên cứu tính huống – điển hình
      • Nghiên cứu hành động
      • Nghiên cứu nội dung
      • Nghiên cứu thực nghiệm
      • Phương pháp quan sát
      • Hiện tượng học
    • Phương pháp tổng quan
      • Phương pháp luận
      • Các phương pháp tổng quan
  • Phân tích thống kê
    • Phân tích thống kê & Kinh tế lượng
      • Hồi quy tuyến tính OLS
      • Cấu trúc mạng tuyến tính SEM
    • Hướng dẫn phần mềm thống kê
      • Sử dụng phần mềm STATA
      • Sử dụng phần mềm SPSS
      • Phân tích SEM – AMOS
      • Phần mềm SmartPLS
      • Phần mềm Eviews
  • Doanh nghiệp học
    • Quản lý doanh nghiệp
    • Chiến lược doanh nghiệp
    • Học thuyết doanh nghiệp
    • Khoa học quản lý
    • Kinh tế vi mô
    • Tin học văn phòng Microsoft Office
  • Giới thiệu